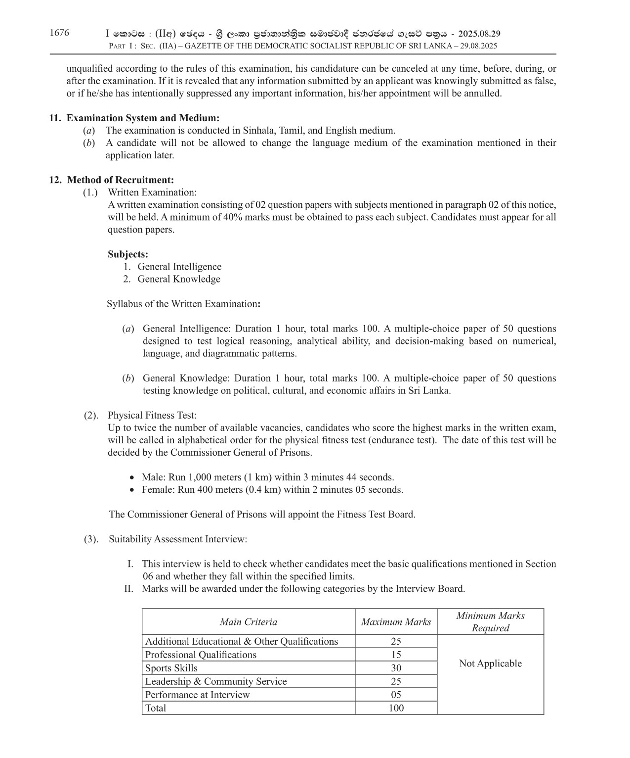
Join our team at the Department of Prisons as a Prison Guard! We are currently seeking motivated individuals to fill our open positions. As a Prison Guard, you will play a crucial role in maintaining the safety and security of our correctional facilities. Your responsibilities will include supervising inmates, enforcing rules and regulations, and conducting routine checks and searches. The ideal candidate will have excellent communication and problem-solving skills, as well as the ability to remain calm and composed in high-stress situations. Prior experience in law enforcement or corrections is preferred, but not required. We offer competitive salaries, comprehensive benefits, and opportunities for career advancement. At the Department of Prisons, we are committed to providing a safe and supportive work environment for our employees. Join us in our mission to protect the community and promote rehabilitation for offenders. Apply now and become a part of our dedicated team of Prison Guards.
Manager (Digital Marketing)
l,ukdlre ^äðg,a wf,úlrK&
Laboratory Assistant , Driver , Lecturer , Senior Lecturer , Temporary Demonstrator
úoHd.dr iyhl " ßhÿre " l:sldpd¾h " fcHIaG l:sldpd¾h " ;djld,sl m%o¾Yl
Computer Operator
mß.Kl C%shdlre
Additional Secretary , Accountant , Internal Auditor
w;sf¾l f,alï " .KldêldÍ " wNHka;r ú.Kl
Management Assistant , Lecturer , Senior Lecturer , Assistant Librarian , Demonstrator , Laboratory Assistant , Office Assistant
l,ukdlrK iyldr " l:sldpd¾h " fcHIaG l:sldpd¾h iyldr mqia;ld,hdêm;s " m%o¾Yl " úoHd.dr iyhl " ld¾hd, iydhl
Museum Watcher , Inspector of Watcher Assistant
fl!;=ld.dr uqrlre " iyldr uqr mÍlaIl