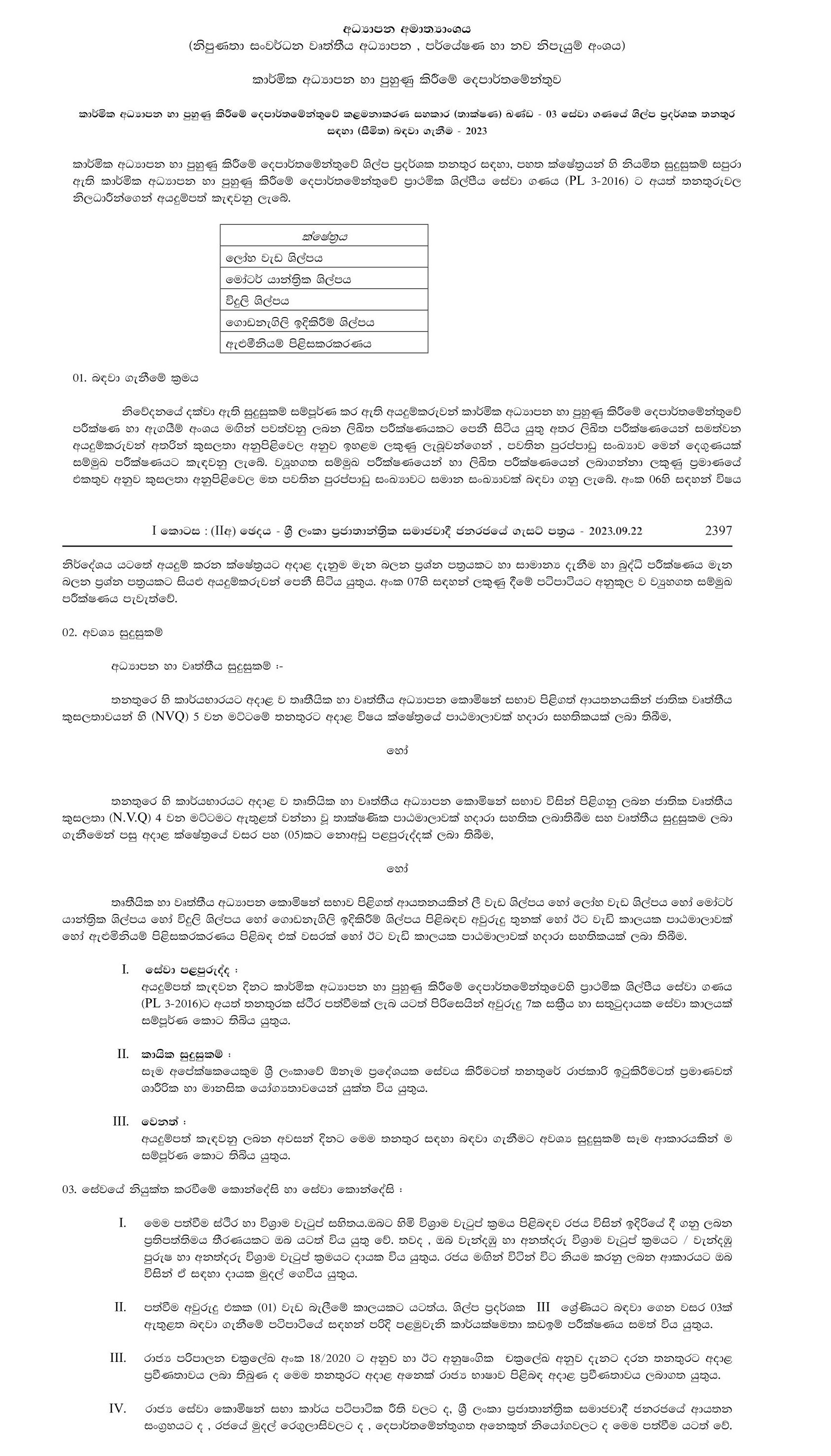
The Development of Technical Education & Training organization is seeking a Demonstrator (Limited) to fill vacancies. Job duties include demonstrating the proper use of equipment and techniques, instructing students on technical skills and safety practices, and assisting with curriculum development. The ideal candidate should have a background in technical education or relevant field, strong communication skills, and a willingness to learn and adapt to new technologies. This is a great opportunity to join a dynamic team and contribute to the growth of technical education and training.
Project Assistant
Project Assistant
jHdmD;s iyldr
Electrician , Plumber , Circuit Bungalow Care taker
úÿ,s ld¾ñl " mhsmam jEoaÿïlre " ixpdrl nx.,d Ndrlre
Entomology Assistant , Zoology Assistant , Botanical Science Assistant , Geology Assistant , Museum Security , Technical Officer (Planning , Electrical) , Audio Visual Unit Officer
lSg úoHd iyldr " i;a;aj úoHd iyldr " WoaNs; úoHd iyldr " NQ úoHd iyldr " fl!;=ld.dr wdrlaIl " ld¾ñl ks,OdÍ ^ie,iqï " úÿ,s& " Y%jH oDYH tall Ndr ks,OdÍ
Director/Chief Executive Officer , Administrative Officer , Accounts Officer , Security Guard
wOHlaI$m%Odk úOdhk ks,OdÍ " mßmd,k ks,OdÍ " .sKqñ ks,OdÍ " wdrlaIl kshdul
Management Assistant , Office Assistant , Senior Lecturer , Lecturer , Instructor
l,ukdlrK iyldr " ld¾hd, iydhl " fcHIaG l:sldpd¾h " l:sldpd¾h " WmfoaYl